Kỳ thi vào 10 THPT năm học 2023-2024 có sức nóng rất lớn tại nhiều điểm đăng ký tuyển sinh. Đặc biệt, nhiều năm nay trường THPT Toàn Thắng số hồ sơ đăng ký dự thi nhỏ hơn hoặc lớn hơn số chỉ tiêu được giao tuyển sinh rất nhỏ. Vì thế điểm chuẩn thấp gần nhất thành phố điều đó tạo tâm lý chủ quan cho PHHS và học sinh. PHHS và các em đều nghĩ rằng không cần học, học hời hợt cũng đỗ.
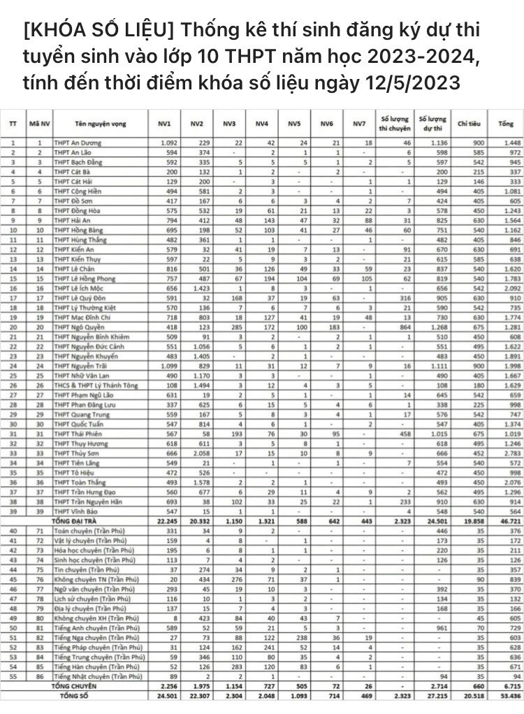
Với chỉ tiêu năm nay giao cho các trường THPT trong huyện Tiên Lãng là: THPT Toàn Thắng được tuyển 10 lớp với số học sinh 450 học sinh; THPT Hùng Thắng được tuyển sinh 9 lớp với số học sinh 405; THPT Tiên Lãng được tuyển sinh 12 lớp với 540 học sinh; THPT Nhữ Văn Lan được tuyển 9 lớp với số học sinh 405.
Tại thời điểm chốt hồ sơ đăng ký thì con số đăng ký tuyển sinh của trường THPT Toàn Thắng là 493 hồ sơ; THPT Tiên Lãng là 549 hồ sơ; THPT Hùng Thắng là 482 hồ sơ; THPT Nhữ Văn Lan là 490 hồ sơ.
Như vậy, THPT Toàn Thắng thừa ít nhất 43 hồ sơ; THPT Hùng Thắng thừa 77 hồ sơ; THPT Tiên Lãng thừa 9 hồ sơ; THPT Nhữ Văn Lan thừa 85 hồ sơ.
Nếu các em lơ là không tập trung học thì sẽ khó có thể đạt được kết quả tốt, hơn nữa sẽ nhiều em phải ở lại phía sau ( không đỗ vào 10 THPT năm học 2023-2024) . Điều này sẽ khiến con đường học tập phấn đấu của các em không đạt được như mong đợi, sẽ có khó khăn cho các em và gia đình.
Nhà trường kêu gọi các bậc phụ huynh học sinh phối hợp cùng giáo viên chủ nhiệm, giáo viên bộ môn nhắc nhở, động viên giúp các em học tập thật tập trung để kết quả thi vào lớp 10 THPT năm học 2023-2024 đạt tốt nhất. Trân trọng!